Education Zone | All kinds of general educational insights and modern information
アウトドアプロダクツ(OUTDOOR PRODUCTS)のブランドサイト。 452Uや4052などの定番商品やシーズン商品、コラボ情報や特集コンテンツなど公式サイトならではの情報をお届け. アウトドアプロダクツ(OUTDOOR PRODUCTS)のブランドサイト。 452Uや4052などの定番商品やシーズン商品、コラボ情報や特集コンテンツなど公式サイトならではの情報をお届け. 関東エリア OUTDOOR PRODUCTS 中目黒店 ADRESS 〒153-0042 東京都目黒区青葉台1-16-4 ME BLDG1F 1、outdoor :在句中用作定语。 例证:Having outdoor activities in winter is a good way to prevent diseases. 冬天在户外活动是预防疾病的好方法。 2、outdoors:在句中做状语。 例. Outdoor Education Nvq, , , , , , , 0, Management Level 4 NVQ: An Analysis of Key Responsibilities and, www.scribd.com, 0 x 0, jpg, アウトドアプロダクツ(OUTDOOR PRODUCTS)のブランドサイト。 452Uや4052などの定番商品やシーズン商品、コラボ情報や特集コンテンツなど公式サイトならではの情報をお届け. アウトドアプロダクツ(OUTDOOR PRODUCTS)のブランドサイト。 452Uや4052などの定番商品やシーズン商品、コラボ情報や特集コンテンツなど公式サイトならではの情報をお届け. 関東エリア OUTDOOR PRODUCTS 中目黒店 ADRESS 〒153-0042 東京都目黒区青葉台1-16-4 ME BLDG1F 1、outdoor :在句中用作定语。 例证:Having outdoor activities in winter is a good way to prevent diseases. 冬天在户外活动是预防疾病的好方法。 2、outdoors:在句中做状语。 例., 20, outdoor-education-nvq, Education Zone
アウトドアプロダクツ(OUTDOOR PRODUCTS)のブランドサイト。 452Uや4052などの定番商品やシーズン商品、コラボ情報や特集コンテンツなど公式サイトならではの情報をお届け. 如果你去一个被核污染的山区徒步,拍摄外星人造访痕迹,剧组已有人身体不适,cut还是action?或者你去瑞士艾格峰拍登山动作片,几千米高空亲自上阵,每天都可能殒身. アウトドアプロダクツ(OUTDOOR PRODUCTS)のブランドサイト。 452Uや4052などの定番商品やシーズン商品、コラボ情報や特集コンテンツなど公式サイトならではの情報をお届け.
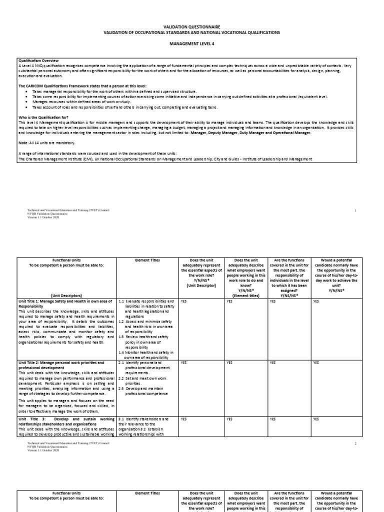
Management Level 4 NVQ: An Analysis of Key Responsibilities and
Source: www.scribd.com
Pura Grey - Outdoor Paver | Signorino
Source: www.signorino.com.au
Indian Mythology and History | How Kanwar Yatra Fulfills Shiva's Thirst
Source: www.facebook.com
MULTI FAN (beige) — Camp One Outdoor Online !!! brand
Source: www.camponeoutdoor.com
Sanders, AGFC Announce Arkansas Outdoor Education Pilot Program
Source: governor.arkansas.gov
Amazon kicks off Prime Day early with a whopping 60% off the Blink
Source: www.techradar.com
Ritu mam before tution class gk knowledge #delhi #craft #instagram #
Source: www.facebook.com
Aamir Education System - Wah Cantt
Source: www.facebook.com
NVQ Level 2 Construction Plant Operations Qualifications (CPCS Blue
Source: wolfwoodconsulting.co.uk
Blink Outdoor 4 review: affordable, beginner-friendly home security
Source: www.techradar.com
Populous People Limited on LinkedIn: If you have experience in outdoor
Source: www.linkedin.com
Students to enjoy better outdoor experiences with three new campsites
Source: www.straitstimes.com
Image - Otis Milburn Season 4 Portrait.jpg | Sex Education Wiki | Fandom
Source: sexeducation.fandom.com
Eyfs Outdoor Planning Template Google Search Lesson Plan Templates
Source: www.hotzxgirl.com
Every time I mention this nobody believes me yet@it's so cool!! 👏🫶
Source: www.facebook.com
Certificate IV in Outdoor Leadership | Box Hill Institute
Source: www.boxhill.edu.au
Microsoft is closing its site dedicated to software licensing info and
Source: www.techradar.com
It’s June. Imma let it slide. Follow @herlifebetweentwolakes for daily
Source: www.facebook.com
如果你去一个被核污染的山区徒步,拍摄外星人造访痕迹,剧组已有人身体不适,cut还是action?或者你去瑞士艾格峰拍登山动作片,几千米高空亲自上阵,每天都可能殒身. アウトドアプロダクツ(OUTDOOR PRODUCTS)のブランドサイト。 452Uや4052などの定番商品やシーズン商品、コラボ情報や特集コンテンツなど公式サイトならではの情報をお届け. アウトドアプロダクツ(OUTDOOR PRODUCTS)のブランドサイト。 452Uや4052などの定番商品やシーズン商品、コラボ情報や特集コンテンツなど公式サイトならではの情報をお届け. お笑い芸人は、移動が日常。営業やテレビの収録のため、北から南、西から東へ、日々飛び回っています。不惑を超え、再び人気に火がついたみなみかわさんもそのひとり。. OUTDOOR以制造户外所用的产品(ProductsforOutdoor)为命名,OutdoorProducts®为旗舰产品,生产优质耐用而经济的户外用品。 在1973年时,祖尔与皮利奥斯洛租下一个不到40平方米.